Pages 1305-1325
E. Vahabi, A. Jafari, R. Sahraeian
Pages 1326-1333
E. E. Odintsov, V. N. Gusev
Pages 1334-1345
A. L. Ibrahim, S. M. Hosseini, A. Ebadi
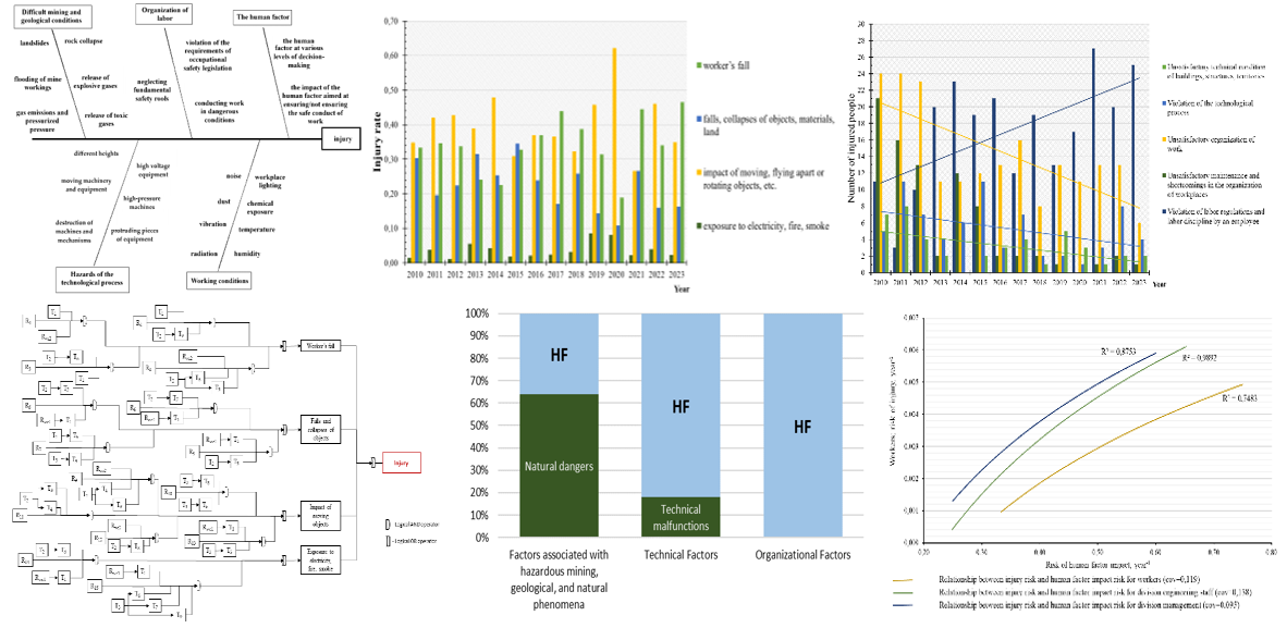
Pages 1346-1356
I. B. Movchan, A. A. Yakovleva, V. V. Semenov, D. K. Medinskaia
Pages 1357-1368
N. Arahman, A. Anwar, M. P. Aulia, C. M. Rosnelly, I. Ramli
Pages 1369-1381
T. A. Le, N. T. Lan, N. Y. Do
Pages 1382-1389
V. V. Glazunov, M. M. Saitgaleev, D. D. Sekerina
Pages 1390-1401
M. A. A. Jabbar, A. R. Abbas, R. F. Ghani
Pages 1402-1413
A. Farkhondeh, M. Bakhshi-Jooybari, H. Gorji, M. J. Mirnia
Pages 1414-1421
A. V. Mikhailov, C. Bouguebrine
Pages 1422-1437
M. Gholami, M. Fateh, A. Fateh
Pages 1438-1452
H. Helmizar, D. Nopita, Y. Witanto, K. Shai, R. D. Eka Putra, A. Kurniawan Mainil
Pages 1453-1461
G. Yudharma, B. Kurniawan, B. Soegijono, D. R. Munazat
Pages 1462-1481
H. Azizi-Monfared, M. Ghanbarisabagh
Pages 1482-1495
G. I. Korshunov, D. Y. Krasnoukhova
Pages 1496-1508
H. Zakerian, M. Yadollahzadeh-Tabari, H. Shirgahi, H. Motameni
Pages 1509-1517
K. Kolaee Darabi, H. Hassanpour, A. Sheikhahmadi
Pages 1518-1532
H. Hamidi, E. Aliaghdam